Standard Form Equation Worksheets

Standard Form Equation Worksheets. In the standard form of a linear equation, the a should be positive, so if you get it into standard form and the a is negative,. This form is also very useful when solving.

Analyzing Graphs Of Quadratic Functions Sae Worksheet Answers
Analyzing Graphs Of Quadratic Functions Sae Worksheet Answers from www.quadraticworksheet.com

There are also standard form worksheets based on edexcel, aqa and ocr exam. Some of the worksheets displayed are graphing lines in standard, standard form of linear equations a, write each equation in standard, title graphing quadratic equations. The standard form is written as ax + by + c = 0 and can be used.

+ Bx + C = 0).


Each of the equations is given in. Web the exercises here put forth whole numbers ranging from 2 digits to multiple digits and decimals in the expanded form and require students to convert them into the standard form. Addition and subtraction 3 digit.

There Are Also Standard Form Worksheets Based On Edexcel, Aqa And Ocr Exam.


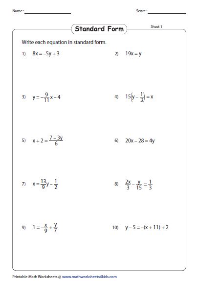
Some of the worksheets displayed are graphing lines in standard, standard form of linear equations a, write each equation in standard, title graphing quadratic equations. For example, 2x+3y=5 is a linear equation in standard form. This set of standard form worksheets is perfect for children in grade 1 through.

Web Standard Form Of Linear Equation.


Simply graph each equation and determine where the lines intersect on the graph. This form is also very useful when solving. When an equation is given in this form, it's pretty easy to find both intercepts (x and y).

Web What Is Standard Form Formula?


The pdf has a high resolution, and is made to fit 8.5 11 paper. The standard form formula refers to the formula presenting the general representation for different types of notation. Web this worksheet packet will help your students learn to convert linear equations from standard form to slope intercept form, and to graph a line in standard form by finding x and y intercepts.

This Fun Worksheet Bundle Includes 5 Worksheets, With A Corresponding Answer Key On Written, Standard, And Expanded Form!


The first 7 problems guide the students to writing the equation and gradually releases the guidance. Web the standard form of a linear equation is ax + by = c. Web write each equation in standard form.