Specific Heat Problems Worksheets Answers

Specific Heat Problems Worksheets Answers. Web what is the specific heat away the metal? The specific heat of ethanol is 2.46 j/g ˚c.

Specific Heat Worksheet Answers
Specific Heat Worksheet Answers from zipworksheet.com

The amount of heat required to raise the temperature of one gram of a substance by one celsius degree is referred to as. = ∆ = (10,000 ). Answers included on separate sheet.

Answers Included On Separate Sheet.


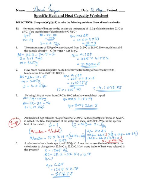
The specific heat of ethanol is 2.46 j/g ˚c. Web q = heat absorbed m = mass δt = change in temperature c = of material q is measured in j (joules) or kj (kilojoules) problems: Use q = (m)(δt)(cp) to solve the following problems.

Web Answers Are Provided At The End Of The Worksheet Without Units.


Web practice problems on heat capacity and specific heat. Worksheets are specific heat practice problems work with answers, specific heat wksht20130116145212867,. Substance specific heat (j/g•°c) water 4.179 aluminum 0.900 copper 0.385 iron 0.450 granite 0.790 when.

Web Specific Heat Worksheet Q Mass Csp T Answers.


In the specific heat problems, we learned that specific heat is defined as the amount of heat energy required to change the temperature of a sample with mass m m. Specific heat table on the back 1. Place these into the specific heat.

From Choosing Baby's Name To Helping A Teenager Choose A.


M = 25 grams δt = 200 °c q = 2330 j. Web what is the specific heat away the metal? Specific heat problems worksheet answers a 15 75 g piece of iron absorbs 1086 75 joules of heat energy and its.

Web Heat Transfer/ Specific Heat Problems Worksheet Solving For Heat (Q) 1.


Web specific heat use the table below to answer the following questions. The focus is on comparing the high. Examples of how to determine, the heat, heat capacity, and change of temperature.